Sunday, February 26, 2012

Iran defiant | as U.N. nuclear | talks fail

United States criticized Iran for failing the mission of the latest International Atomic Energy Agency, saying Tehran was again demonstrated refusal to comply with international obligations on its nuclear program.

International Atomic Energy Agency (IAEA) admitted its failure to investigate Iran's efforts to develop nuclear weapons. This statement came out shortly after Iran said it would conduct preemptive attacks against those who threaten its interests.

Failure of two-day visit by the IAEA could hinder any resumption of nuclear talks between Iran wider and six world powers - the United States, China, Russia, Britain, France and Germany - as a growing sense that Tehran feels it is cornered.
Iran rejects accusations that its nuclear program is a covert attempt to develop nuclear weapons capability, saying it was trying to produce electricity only. But last November, the IAEA said Iran bahwaw information they have run a series of test "relevant to the development of a nuclear explosive devices".

The collapse of the nuclear talks came as Iran seems increasingly isolated, with some experts see the Islamic republic mounting dissent in response to sanctions against the oil industry and financial institutions as proof that it was in no mood to compromise with the West.

In Jerusalem, Israeli Foreign Minister Avigdor Lieberman rejected an appeal by the world powers to avoid pre-emptive attack against Iran's nuclear program. IAEA mission failure can increase the likelihood of an attack by Israel against Iran, some analysts say.

Evaluation of the IAEA inspection team for their visit Iran's nuclear program may be released later in February.

This makes the U.S. and the EU to tighten sanctions against Iran, including a policy to stop the import of crude oil from Iran.

This strain also led to speculation that Israel might conduct a military attack on Iran's nuclear facilities.

Friday, February 24, 2012

Potential Biodiesel

Advantages Biodiesel Use

1. Generated from renewable energy resources and the availability of raw materials is assured

2. High cetane number (number that indicates whether or not the measure of the quality of diesel fuel based on the nature of the speed of the engine combustion chamber)

3. High viscosity so as to have better lubrication properties than diesel fuel thereby extending the life of the machine

4. Can be produced locally

5. Has a low sulfur content

6. Lower levels of smoke opasiti

7. Lowering exhaust emissions

8. Blending biodiesel with petroleum diesel to improve biodegradibility petroleum diesel to 500%
Biodiesel Raw Materials
Biodiesel is a diesel motor fuel in the form of ester alkyl / alkyl fatty acids (usually methyl ester) are made from vegetable oils or trans-esterification process. stilah biodiesel fuel is identical to the pure. Biodiesel blend (BXX) is as much as XX `% biodiesel mixed with diesel fuel number 1-XX%
Background The need for Biodiesel in Indonesia:

Diesel fuel in the form of methyl ester / ethyl fatty acids. Made from vegetable oils-fats with the metanolisis / etanolisis. -Too products: glycerin. Or from fatty acids (free) by the esterifi-cation with methanol / ethanol. -Too products: water Compatible with diesel fuel, lubricating helpless better. Yield of sulfur is almost nil, generally <15 ppm. BXX = camp. XX-vol% biodiesel with (100 - XX)-vol% diesel. Example: B5, B20, B100. Was effective to improve the quality of diesel vehicle emissions in the B2 level!. Vegetable oil as the main source of biodiesel can be satisfied by a wide variety of plant species dependent on primary resource that is widely available at a place / country. Indonesia has many resources for biodiesel feedstock. Biodiesel fuel is a clean burning alternative fuel That comes from 100% renewable resources. Many people believe That biodiesel is the fuel of the future. Sometimes it is also known as biofuels. Biodiesel does not contain petroleum, petroleum but can be mixed to Produce a blend of biodiesel (eg B20, B50) That can be used in many different vehicles. Pure biodiesel fuel (ie. B100) though, can only be used in diesel engines. Biodiesel is biodegradable and non-toxic, making it so safe That it is even safer than the commonly used table salt! Biodiesel is not alternative fuels like vegetable oil. Biodiesel can be used in its unaltered form in diesel engines. Vegetable oil fuels must be modified and used only in combustion-ignition engines. This makes biodiesel one of the easiest alternative fuels to use. In fact, it is a great option for use on farms in farm equipment. Biodiesel fuel is made through a process called transesterification. This process involves removing the glycerin from the vegetable oil or fat. During the process byproducts are left behind, Including methyl esters and glycerin. Biodiesel is free from Such substances as sulfur and aromatics the which are found in traditional fuels. Compared to other alternative fuels, biodiesel has a number of unique features and qualities. It has passed all the health effects testing requirements, unlike other alternative fuels. This means it meets the standards of the 1990 Clean Air Act Amendments. | The Environmental Protection Agency (EPA) has legally allow biodiesel to be sold and distributed commercially. The rest of the alternative fuels can not be sold commercially as motor fuel Because They do not meet the EPA's fuel specifications. That I believe the biggest feature about biodiesel fuel is that? Is it environmentally-friendly, the which is not found in many traditional fuels. Biodiesel is made from renewable resources, the which means it is safe for the environment. It does not Produce the high emissions like traditional fuels. Biodiesel does not cause harmful effects to the environment That Will Produce positive effects on our future generations. Biodiesel is also good for the economy Because unlike traditional fuels, the resources to the make biodiesel come form within the United States. It is made with products grown in the USA without having to involve politics with other countries. The country can less dependent upon foreign Become countries for fuel supplies and the money goes right back into the U.S. economy. Biodiesel is an innovative fuel FuelBiodiesel That Is Becoming more rapidly available to the general public. It can be found around the country in select places or it can be bought directly from producers. It costs a little more than traditional fuels at the current time Because the demand is not as great. However, as demand Grows and the public realizes the benefits of a biodegradable, renewable fuel source, the price will drop. You can see That the price has already started to drop since it's launched at Their first Biodiesel station. Right now, though, the cheapest way to get biodiesel fuel is to make it at home yourself using a Biodiesel Equipment. Biodiesel equipment can be expensive, I must agree. However, in the long-run, you can actually save a lot of money when you Produce Biodiesel a good blend for your car. Make biodiesel

When the oil used to fry the event of oxidation, hydrolysis of the oil molecules break down into acids. This process is getting bigger with the high heating and a long time during the frying of food. The presence of free fatty acids in cooking oil is not good for health. FFA can also be ester when reacted with methanol, while if it reacts with the soda will mebentuk soap. The product must be purified from biodiesel byproduct, glycerin, soap and soda residual methanol. The rest are on the soda can henghidrolisa biodiesel and biodiesel break into FFA are then dissolved in biodiesel itself. FFA content in biodiesel is not good because it can clog the filter or strainer with sediment and become corrosive to metals diesel engines.

On a small scale can be done with 1 liter of cooking oil materials are new or used. Methanol as much as 200 ml or 0.2 liter. Caustic soda or NaOH to 3.5 grams of clean cooking oil, used oil if needed 4.5 grams, or maybe more. This excess is required to neutralize the free fatty acids or FFA is a great deal on used cooking oil. Can also use KOH but it has cost more and required 1.4 times more than soda. The manufacturing process; Soda dissolved in methanol fire and then fed into the heated oil about 55 ° C, stirred rapidly for 15-20 minutes and then left in the cold overnight. Biodiesel will be obtained at the top with a clear yellowish color and a little lower part of the FFA mixture of soap, the rest of the unreacted methanol and glyserin approximately 79 ml. Biodiesel is a yellowish liquid at the top separated easily by pouring and remove the bottom of the liquid. For large-scale bottom product can be purified to obtain a high-priced glycerin, also soap and residual unreacted methanol.

Thursday, February 23, 2012

Radioactive nuclear waste

Radioactive wastes are waste types containing or contaminated with radionuclides at concentrations or activities that exceed the allowable limits (clearance level) established by the Agency for Nuclear Energy. The definitions used in legislation
Understanding others radioactive waste defined as radioactive substances that are no longer applicable, and / or materials and equipment or be exposed to radioactive substances are not radioactive and can be enabled / used. Materials or equipment or be exposed to radioactive likely due to the operation of nuclear installations or installations that utilize ionizing radiation.

Broadly speaking, nuclear waste is divided into two categories, Low Level Waste and Intermediete (LILW) and High Level Waste (HLW). LILW is the nuclear waste in the form of gloves, shoe covers and clothing of workers at nuclear power plants as well as the maintenance of machine tools and the like. Treatment programs so how do LILW stored in temporary storage before being didispose permanently. While generally HLW-treated with 2 methods, dry and wet storages. As the name implies, in wet storage, nuclear waste from reactor-treated in water for 3-5 years to reduce the cooling plus heat from radioactive decays. After passing through that process, the nuclear waste container is inserted into the specially designed so that it can securely store, especially the use of corrosion resistant materials and radiation. While dry storage, nuclear waste is directly inserted into a specially designed container without water as a coolant. Usually stored up to 6 years in the container. Containers can dry storages shaped metal casks, concrete silos, and storage vaults.

More than 90% of the world's nuclear waste currently-treated through a process of wet storage. Generally, the temporary storage of nuclear waste at the nuclear plant itself, so it does not need to be transported through the transport distance. Not random people can come into this facility, because of course the controls are very tight. NPP managers are required to provide periodic reports on the passage of nuclear waste to the local regulatory bodies and also the IAEA.

Treatment can then use a geological repository system, or use a transmutation techniques that today more and more research in the field, such as fast reactors and ADS are predicted to exist several decades to come.
Researchers discover microbes that clean and neutralize nuclear waste and other toxic metal power produced by the microbes themselves.

Researchers from Michigan State University (MSU), said this process could be improved and ultimately benefit the affected sites of nuclear contamination.

The ability of Geobacter microbes are the crippling uranium has been well documented, but the way they do the job right is still a mystery to this day when the researchers claim to find it.

Researchers claim to find nano conductive pili or cables that contribute to the neutralizing ability of these microbes through electrical activity.

"Our findings clearly show, nano wires into the main catalyst of this microbial reduction of uranium," said microbiologist Gemma Reguera from MSU.

This part is very important in performing electroplating with the electric version of the natural uranium, radioactive materials and prevent crippling contaminate ground water, he added.

Wednesday, February 22, 2012

Potential Gas Turbine

The efficiency of gas turbines are often planes, helicopters and small, are used for power generation purposes. There are several advantages because it uses a gas turbine.
Electricity generated from gas turbines, 4 or 2 - stroke engine with a motorcycle, is higher than the same weight. Medium containing an equal weight of the gas turbine power, and transportation as mentioned above will no longer widely used and produced by the gas turbine.


How it works Gas Turbine

The major components of gas turbines, there are three. High pressure air compressor to create. Combustion chamber and the combustion air pressure and high-speed serves in a part of the production. Turbine from the high pressure air in the combustion chamber was a function of mechanical motion.
Combustion chamber. The chemical composition of the three elements of air and fuel burning fire. A hydrocarbon fuel is used in gas turbines. From the high pressure air compressor into the combustion chamber, fuel injectors and combustion air pressure is sprayed in production, leading to a higher speed. Turbine used to generate electricity. The existing gas turbine, called a modified turbo. The format is similar to the gas turbine. Turbo - The fan in front of a fan compressor (fan) is.

Saturday, February 18, 2012

Types of Disorders in Plants

Various kinds of disturbances on power
• The drum water level high
As a result of drum level high, then a mixture of steam and water can get into the steam line which can result in damaging the piping system waterhammer.
• The drum water level low
Generally a boiler equipped with automatic safety devices to trip the boiler / power plant unit if the water level in the lower drum, to prevent fatal damage to the boiler. If the water level below the expected glass, and automatic safety is not working normally, is necessary to take action to turn off / stop the boiler.
• Boiler tube failure
Indication of a boiler tube leak, among others: kelaianan sound, the water rises above normal adder, more white chimney smoke, steam sprayers. Try to keep the water level in the drum remained normal. Stop the boiler, because the water / vapor can leak mengkikis adjacent tube so that it can exacerbate the damage
• IDF trip
Generally equipped with interlock, if the IDF and FDF automatically trip the boiler trip, because the FDF and the boiler does not trip the fire would burst out of the baker. If the IDF trip, and the interlock system is not working normally, manually trip FDF
• Loss of ignition
Generally boiler is equipped with a flame detector to monitor the combustion in the combustion chamber. If the flame goes out automatically the supply of fuel will be stopped.
If this happens needs to be done purging the combustion chamber for at least 5 minutes before the start of the next firing, to prevent explosion
• Power failure
If it happens interrupted power supply (voltage loss), it is impossible to spend PULVERIZER coal present in the mill before turning off the boiler. If the mill can not be operated again within 3 hours, then the coal is in the mill to be removed to prevent fires.
• Fire in PULVERIZER
Fire in the mill when the mill operation is rare, but sometimes also the result of coal from the coal bunker was tebakar or primary air temperature is too high. The presence of fire can be detected from a very rapid temperature rise / sharply on the outlet side
• Corrosion / kropos / rust
Corrosion is a threat of an eye the plant / equipment, as it could potentially interfere with the operation, shorten the life of the plant
High-potential equipment corrosion, among others:
a) Equipment in the primary cooling system with cooling sea water medium, the pier. General corrosion of equipment that could potentially include: traveling screen / water intakes, docks, condenser water box. To inhibit the corrosion rate is usually done by means of cathodic protection, among others: Zeng anode / anode victim, inverse current, as well as anti-rust paint
b) Element AH cold side
AH element most susceptible to the cold side corrosion, caused by sulfur in the flue gases condenses, especially if using fuel with high sulfur content.
Efforts to inhibit the corrosion rate is done by controlling the exit flue gas temperature is always above the dew point AH sulfur, among others, by heating the incoming air AH (Air Preheat Coil)
c) Boiler tube
Corrosion of boiler tube can occur due to water quality charger (boiler water) is not good / not pure / contaminated, among others, as a result of leaking condenser tube, oxygen levels within the high water boiler. Solved immediately in the event of condenser tube leak, adjust the water quality of the blowdown and chemical injection. Oxygen levels within the control of boiler water, with a de-aerating and chemical injection.
• slagging and fouling
Slagging and fouling is a threat that could potentially interfere with the operation of the boiler that uses fuel, especially coal. Part boiler slagging and fouling potential occurs are:

.> Furnace slagging
Place of ash slagging / ash melts its temperature exceeds the melting point of ash. Process due to the occurrence of ash attached to the fuel pipes in the room was thick enough to inhibit heat transfer process so that the temperature of the combustion chamber so up and melt the ash. Sediment / deposit this ash is melted down along the pipe boiler stir, then serve frozen / hard when it came to the area which the temperature is cooler.
Great slagging can lead to blockage of ash bridging the hoper. If the clean-up deposit occurs normally require bridging boiler stop. Sootblowing do regularly, to slow the rate of formation of slagging. Sootblower reliability is critical to prevent slagging

.> SH deposit
Abu superheater tube attached to the longer will be more thick, inhibit heat transfer, so that the steam temperature tends to drop. Sootblowing do routinely to menhambat ash deposit rate on SH, and sootblowernya be effective

.> Economiser fouling
Abu also be attached to the tube economiser, even more so when using a finned-tube economisernya. Sootblowing do routinely. Sootblower be effective.

.> AH fouling
Furthermore ashes will stick to the AH, it can even block some element AH. Sootblowing do routinely. Sootblower be effective. Frequency can lead to excessive sootblowing AH seals wear faster, so that air leakage become bigger, decreasing the amount of combustion air and ultimately increase the potential for slagging on boiler combustion chamber

Friday, February 17, 2012

"Kazakhstan" Domination Of The World's Largest Uranium

Data compiled by foreigners indicate that uranium production worldwide increased from 50 772 tons in 2009 to 53 663 tonnes in 2010, which is the highest number since the early 1990's. Kazakhstan is the country's largest producer, with production reaching 17 803 tonnes in 2010, increased 27% from 14 020 tonnes produced in 2009. Canada and Australia respectively to maintain the second and third place, although the two countries uranium production fell in 2010. While Canadian production down 4% from 10 173 tons in 2009 to 9783 tons in 2010, while Australian production fell 26% from 7982 tonnes in 2009 to 5900 tons.

Two African countries, Namibia and Nigeria - are the largest uranium producer fourth and fifth in 2010, with production of 4496 tons each, and 4198 tons. Cameco Canada back on its position as the company's largest uranium producer in the world with total production of 8758 tons in 2010, up from 8000 tonnes in 2009. Uranium production from this company is 16% of the world's uranium products in 2010.Areva of France, which is a leading producer in 2009 with a production of 8623 tons, has produced 8319 tonnes reported in 2010, and occupied the second place. Position followed by Kazatomprom, which produce 8116 tons in 2010, up from 7467 tonnes in 2009. Although controlling the production of uranium Kazakhstan, Kazatomprom develop a savings fund in partnership with leading companies including those mentioned above. Kazakhstan looks set to hold its position as the largest uranium producing country in 2011. State company Kazatomprom Kazakhstan reported that production during the first quarter of 2011 reached 777.4 tons, 7.3% above the planned production plan that is equal to 724.4 tons and increased by 24% in the same period last year.


Mine Cameco's McArthur River / Key Lake in Canada continue to occupy the position of the largest mines in the world capable of producing uranium in 2010, amounting to 7654 tonnes, up from 7339 tonnes in 2009. Although production fell from 4444 tons in 2009 to 3216 tons in 2010, the mine Energy Resources of Australia (ERA) Ranger Australia in Australia to maintain second place.

Rio Tinto's Rossing mine in Namibia is the third largest mine with a production of 3077 tons in 2010, down from 3520 tonnes in 2009. Although conventional underground mining techniques and remain in an open area, the main method for the extraction of uranium, with 53% of products derived from this technique, the use of technology in-situ leach (ISL) has become populler. In 2009, approximately 36% of uranium extracted using ISL technology, while in 2010 this figure jumped to 41%. Merupkan uranium production by-product of other mineral slightly decreased 7% of total production in 2009 to 5% in 2010.

Wednesday, February 15, 2012

Development of nuclear energy systems in the future.

Uranium nuclear are all kinds of material that can be used to produce nuclear energy, as if the analogy with the chemical fuel that is burned to produce energy. Until now, the nuclear fuel that is commonly used fissil heavy elements that can produce nuclear chain reactions in nuclear reactors; nuclear fuel can also mean the material or physical objects (for example fuel bundles composed of fuel rods are prepared by fuel material, can also be mixed with the structural material, moderator material, or material of the reflector (reflector) neturon. fissil nuclear fuel that is used seirng 235 U and 239Pu, and activities related to mining, refining, use and disposal of these materials included in the nuclear fuel cycle. the nuclear fuel cycle is important because it is associated with the presence of nuclear and nuclear weapons.
Not all fuel used in nuclear fission chain reaction. For example, 238Pu and some other light elements are used to generate a number of nuclear power through the process of radioactive decay in radiothermal generator, and an atomic battery. Light isotopes such as 3H (tritium) are used as fuel for nuclear fussi. When looking at the binding energy at a particular isotope, there are a number of energy which can be obtained by the merge elements with atomic numbers less than iron, and memfisikan elements with atomic numbers greater than iron.
The nuclei of U-235 consists of 92 protons and 143 neutrons (92 +143 = 235). When a nucleus of U-235 atom captures a neutron, it will split into two new nuclei and release some energy in the form of heat, accompanied by the release of two or three new neutrons.
If the neutrons are released tersebutdapat trigger the same reaction on other U-235 atoms, releasing neutrons and other new, fission chain reaction can occur. This reaction can happen and happen again, up to a million times, then the heat energy in huge quantities can be produced from a bit of Uranium. Roughly the thermal energy of the core reaction 1 gram U-235 is equal to the heat energy from the combustion of 1 ton of coal.
Closed nuclear fuel cycle through recycling of spent fuel without plutonium separation process has been the top choice of nuclear energy systems development in the future.
A. Mining and Milling
Uranium can be mined by open technique (open cut) and tunnel engineering (underground) depends on the depth of the rocks found uranium. For example, Ranger uranium mine is open while the Olympic Dam mine is an underground mine (mine also produces copper, gold and silver). Both the uranium mines in Australia which is the country with the largest budget category uranium reserves in the world. Mined uranium ore was then sent to the ore processing plant which is generally located near the mine. In this plant, uranium ore is mechanically crushed, and then uranium is separated from other minerals through chemical processes using sulfuric acid solution. The end result of this process in the form of uranium oxide concentrate (U3O8) is often called yellow cake, or "Yellow Cake", although in many ways colored brown.
Some of the uranium mines in Australia, the United States, and Kazakhstan using In Situ Leaching (ISL) uranium directly to mengkstrak of rocks in the soil and bring it to the surface in the form of uranium-rich solution, which is then deposited and dried into a solid uranium oxide. This technique is mainly used to extract uranium found in rocks on the ground that are not economical when delakukan with conventional techniques.
U3O8merupakan commercial products traded on world markets. Ten major countries producing uranium are Canada, Australia, Kazakhstan, Nigeria, Russia, Namibia, South Africa, Ukraine, United States, and Uzbekistan. Canada and Australia produce uranium almost 50% of total world production.
Roughly speaking, it takes about 200 tons of uranium to power a 1000 MWe reactor capable of operating for 1 year. Current world demand for uranium is relatively stable, at around 65 000 tonnes / year.
2. The next steps for the conversion of nuclear fuel-making is a process of purification and conversion into powder Yellow Cake uranium dioxide (UO2) nuclear degree. UO2 is then converted back into gaseous form of uranium hexafluoride (UF6).
For nuclear reactors which use natural uranium fuel, which is a reactor that could produce a chain fission reaction with natural uranium fuel which contains only 0.7% U-235, UO2 powder Yellow Cake conversion results can be directly sent to the plant for processing nuclear fuel a device that is ready to use nuclear fuel in the reactor.
As for the nuclear reactor is only able to produce the fission chain reaction with enriched uranium fuel, UO2 powder conversion process results in the Yellow Cake needs to be changed into the form of UF6 as feed gas enrichment process (the process of increasing levels of U-235 in uranium fuel).
UF6 conversion of UO2 to be done in a two-step process. The first is the reaction of UO2 with anhydrous HF acid to be uranium tetrafluoride (UF4). UF4 and then reacted with F2 to form UF6 gas.
The main countries operating commercial plant converting Yellow Cake - UF6adalah Canada, France, the United States, Britain, and Russia. Some countries such as China, India, Aragentina, and Romania also operates a factory conversion but only for part of its own pass unrecognized.
3. Enrichment
The majority of nuclear power plants now operating or under construction require enriched uranium as fuel. Uranium enrichment is the process of increasing levels of U-235 in uranium fuel from 0.7% (U-235 content in natural uranium) to about 3-5% or more.
Enrichment process discard about 85% U-238 through the separation process of UF6 gas into two streams, one stream is the enriched uranium will be used bait and fuel fabrication process. While the other stream is the stream of waste or "tailings" of the flow of impoverished uranium U-235 is referred to as the depletion of uranium (U-235 content less than 0.25%).
There are two methods that are commercially used for uranium enrichment process, the method of gas diffusion and gas centrifugation methods. Both of these methods basically use the same principle, namely the weight difference between the atom and U-238 U-235 atom.
In the diffusion method of enrichment, UF6dialirkan gas into a porous membrane. Therefore, the lighter U-235 atoms will diffuse or move faster than U-238 atoms, so that the UF6 gas which passes the membrane will contain more U-235. To achieve the U-235 enrichment level between 3-5%, it takes about 1400 times the repetition of the process. So the method is very wasteful of energy, will consume approximately 3-4% of the electricity it generates.
In the enrichment method of centrifugation, UF6diputar gas with high angular velocity in a tube long and slender (1-2 m long, 15-20 cm diameter). Centrifugal force will throw the isotope U-238 which is heavier away from the center of rotation, while U-235 isotopes of the lighter will be concentrated in the center of rotation.
Gas centrifuge method is more energy efficient and can be built with a smaller unit than the gaseous diffusion method, so the method is more economical and fastest growing commercially.
Uranium enrichment plant in the world was first built in the United States with a gas diffusion method. Some modern enrichment plant in Europe (France, Britain, Germany, the Netherlands) and Russian gas centrifuge method. Other countries that operate a commercial uranium enrichment plant is Japan, China, Argentina, and Brazil.
Several types of nuclear power plants, especially nuclear power plants in Canada and the Opium early generation nuclear power plants with gas cooled reactors in the UK do not require enriched uranium fuel.
4. Fuel Fabrication
Fabrication of fuel or nuclear device begins with the conversion process UF6yang been enriched (enrichment plant output) into uranium dioxide powder (UO2) is then formed into pills (pellet) cylinders through pressing and continued with roasting in an atmosphere of hydrogen gas at high temperatures (1700 ° C) to pellet UO2berderajat membetuk dense and strong ceramic.
Pellet-pellet UO2yang meet the quality requirements and then put into a shell of zirconium alloy material (zircalloy).
After both ends of the sleeve and welded closed, the fuel rod (fuel rod) arranged to form a combustion device (fuel assembly).
1000 MWe PWR core contains fuel about 160 devices. Total fuel rods are used to reach 42 000 units. Each fuel rod contains about 300-370 pellets of UO2 pellets, each weighing 6-7 grams.
PWR fuel plant the largest in the world include the Westinghouse - USA with a production capacity of 1600 ton / year, Global Nuclear Fuel - Americas with a production capacity of 1200 ton / year, Ulba - Kazakhstan with a capacity of 2000 ton / year, TVEL Elektrosal - Russia production capacity of 1020 ton / year, TVEL Novosibirsk - Russia with a production capacity of 1000 ton / year, and FBFC - France with a production capacity of 820 tons / year.
Other countries operating nuclear power plants also produce fuel perangka are Japan, South Korea, China, India, Argentina, Brazil, Britain (UK), etc.. . Nuclear Reactor
After the fabrication process, the nuclear fuel put into the reactor core. The composition of the fuel (fuel assembly) that has shaped the structure of the core or core reactor (reactor core). PWR type nuclear power plants with 1000 MW of electrical power (MWe) contains approximately 75 tonnes of slightly enriched uranium. In the reactor core, U-235 fission experience and generate heat in a continuous process called fission chain reaction. Continuity of this process depends on the moderator such as water or graphite, and fully controlled by using control rods.
In the reactor core, a number of U-238 will absorb neutrons and fission results turned into plutonium (Pu-239).
Half of the plutonium produced is also experiencing a fission reaction and produces a third of the total energy of the reactor. To maintain the performance of the reactor, about a third of the fuel used in the core should be replaced with new fuel every year or every 18 months.
6. Temporary Storage of Spent Fuel highly radioactive used fuel and spend a lot of heat. For safe handling and safe, a new spent fuel from reactors dikelurakan stored in special ponds near the reactor to reduce the heat and radioactivity. Water in the pond serves as a barrier to radiation and heat transfer spent fuel from Baban.
Spent fuel can be stored in the storage pool for a long time (up to fifty years or more), before being reprocessed or sent to final disposal as waste (sustainable storage).
Alternatively, after the level of radioactivity and heat emission decreases drastically spent fuel, spent fuel can be removed from the storage pool and then stored in a dry way. Radiation shields are reasonably priced and maintenance-free natural cooling, making this way to be an attractive option.
7. Reprocessing (Sports Birthday)
Spent fuel still contains approximately 96% (480 kg) of uranium with a fissile material content of U-235 is less than 1%. Then 3% (15 kg) of spent fuel of fission products can be categorized as high-activity waste, and 1% (5 kg) the rest of the plutonium (Pu) produced during the fuel inside the reactor and did not experience the burning.
Separation of uranium and plutonium from fission products is done by cutting the fuel element and then dissolving into the acid. Uranium is obtained from the separation process can be converted back into uranium enrichment hexaflourida for later performed. The obtained plutonium can be blended with enriched uranium to produce MOX fuel (Mixed Oxide).
Commercial MOX fuel plant in the world is Belgium, France, Germany, Britain, Russia, Japan, China, and India. United States does not do again if the spent fuel for commercial nuclear power plants in the country. Until now the United States adheres to an open cycle systems or "open cycle".
Some of the PWR nuclear power plant in the world especially in Europe have been using MOX fuel, although its nature is still partial, namely 20-30% of the existing fuel in the core. Japan in the near future it plans to ship a third of its 54 nuclear power plants with MOX fuel.
The 3% of highly radioactive waste resulting from reprocessing is a fission product which number around 750 kg per year from 1000 MWe power reactor. This waste is initially stored in liquid form and then compacted.
Reprocessing spent fuel conducted at facilities in Europe and Russia with a capacity of 5000 tons per year, and total production for almost 40 years has reached about 90 000 tons.
8. Vitrification
High radioactivity waste from reprocessing can be calcined (heated at very high temperatures) so that a dry powder which is then put into borosilicate (pyrex) for immobilizing the waste. Glass material is then poured into stainless steel tubes, each of 400 kg of waste glass. Pengoperasiaan 1000 MWe reactor for one year will result in the waste glass as much as 5 tons or about 12 tubes of stainless high as 1.3 meters and 0.4 meters in diameter. Once given appropriate radiation protection, waste is processed and then transported to the waste storage area.
Until now, the nuclear fuel cycle back end or the "back end" just get to this point.
Final disposal of high radioactivity waste or spent fuel disposal is not reprocessed (open cycle), is still not done.
9. Final Disposal of Waste
Final disposal of waste is in principle sustainable waste storage of high radioactivity that has digelasifikasi and sealed in a stainless steel tube, as well as sustainable storage of spent fuel that has been through enough and the cooling process has been sealed in a container or "canister" is made of corrosion resistant metal such as copper or stainless steel.
Has generally been accepted that the waste is planned to be buried in stable rock in the soil to a depth of not less than 500 m in bedrock (bed rock). Most countries plan to implement the sustainable storage of spent fuel after 2010.

Saturday, February 11, 2012

The Process Of Nuclear Power

Judging from the ongoing process, there are two types of nuclear reactions, nuclear chain reaction is uncontrolled and uncontrollable nuclear chain reaction. Uncontrolled nuclear reaction occurred for example in a nuclear bomb. The purpose of these events are not controlled nuclear reaction to heat generated tremendous magnitude that has a bomb blast damaged a maximum power. In order for a nuclear reaction that occurs can be controlled safely and the energy released from nuclear reactions can be utilized, then people try to create a means of reaction known as a nuclear reactor. production of nuclear fuel for power reactors (NPP), namely:
Yellow Cake purification and conversion into UO2 powder nuclear degrees, and
Device fabrication of nuclear fuel for heavy water reactor type nuclear power plants (HWR)

.
UO2 powder production process begins nuclear degrees of dissolution process the raw materials of Yellow Cake, and purification, precipitation and drying of ADU (ammonium diuranat), calcination of UO3 to U3O8, U3O8 into UO2 reduction and passivation of UO2 powder.

UO2 powder product was then sent to the fabrication untukdiproses further into a final product of the nuclear fuel (fuel bundles). Fabrication processes include: the creation of sintered UO2 pellets, preparation and assembly of components of fuel elements, as well as the nuclear fuel assembly.
Nuclear reactor produces and controls the release of energy from the splitting of atomic number elements such as uranium and plutonium. In the reactor nuclear power plant (NPP), the energy released from fission (split) a chain of atoms of fuel and the heat generated is used to produce steam.
To get an idea of ​​the amount of energy can be released by nuclear reactions, the following is an example of a simple calculation. Take 1 g (0.001 kg) 235 U nuclear fuel. The number of atoms in the fuel are:

N = (1/235) x 6.02 x 25.6 x 1020 1023 = 235 U atom.

Because each of the 235 U fission of nuclear fuel is accompanied by the release of energy of 200 MeV, then 1 g of 235 U that make perfect fission can release energy by:

E = 25.6 x 1020 (atom) x 200 (MeV / atom) = 51.2 x 1022 MeV

If the energy is expressed in units of Joules (J), where 1 MeV = 1.6 x 10-13 J, the energy released then becomes:

E = 51.2 x 1022 (MeV) x 1.6 x 10-13 (J / MeV) = 81.92 x 109 J

Assuming only 30% of that energy can be converted into electrical energy, electrical energy can then be obtained from 1 g of 235 U is:
Elistrik = (30/100) x 81.92 x 24.58 x 109 J = 109 J

Because 1J = 1 Ws (E = Pt), the electronic equipment like TV sets with power (P) 100 W power requirements can be met by 1 g of 235 U for:

t = Elistrik / P = 24.58 x 109 (J) / 100 (W) = 24.58 x 107 s

Figures 24.58 x 107 second (s) of equal length by 7.78 years continuously without shut down.

Boiling Water Reactor

On a boiling water reactor, the fission heat is used directly to evaporate the cooling water and steam that is formed directly used to turn turbines. High pressure turbine to receive steam at temperatures around 290 º C and a pressure of 7.2 MPa. Most of the steam forwarded again to the low pressure turbine. This system can be obtained with a thermal efficiency of 34%. Thermal efficiency indicates the percentage of fission heat that can be converted into electrical energy. After going through the turbine, the steam will have a cooling process that turns into water flowed directly into the reactor core for the evaporated again and so on. The reactor was used with 235 U fuel enrichment level of 3-4% in the form of UO2.
In 1981, the company Toshiba, General Electric and Hitachi cooperate with the company's Tokyo Electric Power Co. Inc. to initiate a joint development project in order to improve system performance by introducing a Boiling Water Reactor Boiling Water Reactor, or A-Advanced BWR (Boiling Water Reactor Advanced). A capacity-BWR is designed to enhance greater economic benefits. In addition, some components of the reactor also increased, such as an increase in the fraction of fuel, coolant circulation pump system improvements, control rod drive mechanism and others.

Pressurized Water Reactor
Pressurized Water Reactor coolant also uses H2O as well as moderator. The difference with Boiling Water Reactor cooling is the use of two types, namely primary and secondary coolant. The heat produced from the fission reaction is used to heat the primary cooling water. The reactor is equipped with a pressure controller (pessurizer) used to maintain the primary coolant system pressure.
Pressurizer system consists of a tank which is equipped with electric heating and water hoses. If the pressure in the reactor core is reduced, an electric heater will heat the water contained in the pressurizer tank, forming the extra steam will raise the pressure in the primary cooling system. Conversely, when pressure increases in the primary cooling system, the sprinkler system would condense some steam so that the vapor pressure is reduced and the primary cooling system will return to its original state. The primary coolant system pressure is maintained at 150 Atm position to prevent the primary cooling water does not boil at temperatures around 300 º C. At normal air pressure, water will boil and evaporate at a temperature of 100 º C.
In the working process, the primary cooling water supplied to the steam generating system that exchanges heat between the cooling system of primary and secondary cooling system. In this case between the two cooling the heat exchange takes place only without any contact or mix, because the two were separated by a cooling pipe system. The exchange of heat causes the secondary cooling water is evaporated. Pressure on the secondary cooling system is maintained at normal air pressure so that water can evaporate at a temperature of 100 º C. Vapor formed in the steam generator system is then streamed to rotate the turbine.

Ability and mastery of nuclear fuel production technology is expected to increase the power of options bargainning domestication of nuclear fuel industry is one of the strategic efforts to strengthen and improve national capacities in introducing nuclear power program in 2025, and to support the development and implementation of innovative nuclear energy systems in the future within the framework of sustainable development.

Technology development activities are currently being implemented in IEBE priority groups to receive:

The ability to produce sintered UO2 pellets according to the requirements,
The ability to execute welding end cap - cladding specification,
Ability of carrying out the synthesis and characterization of a nuclear fuel element structural materials (zircalloy),
The ability to execute the test set quality standards, and
Ability to manage a nuclear installation safety and security.

Development activities are also intended to get the technique or method of sintering pellets UO2yang cheaper than conventional methods and techniques to obtain quality pellets UO2sinter better.

Friday, February 10, 2012

The H2 Plant

Generator is designed to be able to survive in conditions of normal working temperatures of up to working temperature is abnormal, for example: during a short circuit current.
For the same dimensions, the ability to withstand heat will determine the output power rating to withstand the heat that is owned generator.Kemampuan determined two factors: a. Isolation level
b. Cooling rate (ability to dissipate heat)
Heat that caused the generator caused by loss - loss of power (power losses) consisting of:
- Loss - loss of copper / loss - loss of power
- Loss - loss of iron / loss - loss of magnet
- Loss - loss of mechanical
Generator with output power ratings above 300 MVA-Ugi has lost about 1%. Loss - the loss in the form of heat. To keep the heat does not damage the insulating mechanical generator systems listrikdan the pans should be channeled out / absorbed from the generator. Functions performed by the heat absorption refrigeration system.
Steam turbine generator PLTGU Freshwater Estuary using a generator with output power rating of 200 MVA (288 MVA) so that the media selection hydrogen gas (H2) as a coolant is appropriate. Media selection hydrogen gas (H2) as a refrigerant is based on:
A. The density of Hydrogen is only 1/14 times the density of air at the same pressure and temperature. The use of hydrogen gas will reduce the losses - losses due to friction wind generator and sound (noise).
2. Heat transfer capability of hydrogen gas in the system of forced convection (forced convection) 1.5 times the amount of air the heat transfer capability.
3. For the same mass, the heat absorbing capacity of 14.5 times the amount of hydrogen gas of air, because at the same temperature and pressure of the mass of hydrogen is only 1/14 times the mass of air. Then the magnitude of the heat capacity of hydrogen: 14.5 / 14 = 1.035 times the heat-absorbing ability of the air at the same temperature and pressure. So better cooling hydrogen gas from the air.
4. Hydrogen gas does not occur on oxidation reactions and impurities so the generator insulation life will be longer.
5. The thermal conductivity of hydrogen gas air 7 times.
6. In the high-speed machines such as generators, loss - loss of wind is calculated as part of the loss - a total loss, because the density of hydrogen of about 7% more dense than air. Loss - loss of air-cooled hydrogen generator is reduced to 10% of air-cooled generator, so that the generator efficiency is increased by 1%.
The use of hydrogen gas media will reduce the heat to be removed and at the same time will increase the ability to dissipate heat from the generator.
The selection of media as a medium for cooling the hydrogen gas should be noted that - as follows:
a. Hydrogen gas is a gas that is very dangerous (explosive) that require special handling. Concentration of 4-76% hydrogen gas in the air is an explosive mixture (mixture explosivi). Hydrogen gas purity must be guarded / secured at a high level.
b. Require special handling in the process of charging and discharging hydrogen gas from the generator.
c. Requires two systems Auxillary namely:
- Seal oil system: to maintain the hydrogen gas remains in the generator.
- Gas system / Hydrogen plant: to maintain the pressure and purity of hydrogen gas.

Generator cooling circulation system can be viewed as the picture below:


Sirkulasi Gas Hydrogen
Generators and water cooled heat exchanger must be insulated hydrogen gas terahadap meeting. The main problem that occurs in isolation bearings which can be space / narrow gap between the rotor and the generator body is not moving. Spaces / narrow gap that allows its happening kebocorangas the hydrogen to the outside air pressure is smaller. This is very dangerous because it can cause an explosion and fire. To overcome the space / narrow gap is closed with a coating of oil / oil seal oil system is required.
To prevent the mixture that is explosive in the combustion chamber pressure is maintained so that hydrogen gas is greater than the outside air pressure so that when the hydrogen gas leak will point out.
Minimum pressure of hydrogen gas to the outside air is 3440 N/m2 (0.0344 barg). At this pressure the maximum output power rating of the generator can be increased by about 30% above the rating of air-cooled generator. While the peak efficiency (full load efficiency) rose about 0.5%. Tend to use hydrogen gas pressure is higher (between 1.03 barg s / d 4.13 barg) to mass of hydrogen gas generator in a larger space so that the heat absorbing capacity increases. Raising the hydrogen gas pressure of 0.0344 to 1.03 barg barg will increase the output (for the same rise in temperature) of about 15%. Hydrogen gas pressure increases from 0.0344 to 2.07 barg barg would raise output (for the same temperature increase) by 25%. Methods to improve the ability to absorb heat from the generator is to develop a conductor cooling / cooling liner.

Tuesday, February 7, 2012

Electric Power Production Process

The coal is unloaded from the ships at the Coal Jetty and scooped up by the Stacker Reclaimer (1) and then transferred by conveyors to the temporary stock through Telescopic Chute (2). Thereafter the coal will be sent to the Steam Generator. Following that, the coal is transferred through the Junction House (3) to the Scrapper Conveyor (4) and then to the Coal Bunker (5). Afterwards, the coal is channeled to the Coal Feeder (6) the which controls the flow of coal into the Pulverizer (7) where the coal is pulverized into fine powder, the which is picked up by a powerful stream of hot water from the Primary Air Fan (8) and then Carried to the Coal Burner (9) the which blows the coal into the Combustion Rooms, and burns like gas to convert water into steam. The hot water used by the Primary Air Fan is supplied by the Forced Draught Fan (10) the which draws the hot air from the upper part of the Boiler House and passes it through the Water Heater (11). The F.D. Fan also supplies water to the Coal Burner to support the combustion process. The results of the combustion process consist of ashes residue in a ratio of 14: 1. The ashes, the which drop to the bottom of the boilers, are our Periodically taken and stored. The residue from the burning process gases are sucked out from the boiler by the ID Fan (12) via the Electrostatic Precipitator (13) the which absorbs 99.5% of the flying dust and ashes with a high powered electrode system, and blow them up to the Stack (14). The ashes and dust are then collected and taken by a Pneumatic Gravity Conveyor to be used as material for the production of road, elements of cement and building blocks (bricks, conblock). The heat released by the burning fuel is absorbed by waterwalls of the boiler to be turned into saturated steam and it is further heated in the superheater (15), the which is then chaneled into the High Pressure Turbine (16) where it is discharged through nozzles onto the turbine blades. The force of the steam striking the blades makes the turbine rotate. After passing this High Pressure Turbine, the steam is returned to the boiler for reheating in the Reheater (17) before being applied to the Intermediate Pressure Turbine (18) and the Low Pressure Turbine (19). Meanwhile, the exhausted steam is turned back into water in the Condenser (23) by using Sea Water (26) supplied by CW Pump (32). The condensate water is then to be used again later in the boiler. The water is Pumped away from the condenser with a Condensate Extraction Pump (24) heated in the LP Heater (25) and up to the Deaerator (27) - a heated storage tank - then Pumped by the Boiler Feed Pump (28) through the HP Heater (29) where it is further heated before entering the boiler at the Economizer (30) then the water enters the steam drum (31). The L.P. Turbine shaft is coupled to the generator (20) - a large electromagnetic cylinder _ so when the turbine rotates That the rotor rotates with it. The generator rotor is enclosed in the stator (21). The stator is wound using internally cooled copper bars. Electricity is produced in the stator's copper bars by the electromagnet in the rotor through the rotation of the magnetic field. The electric voltage of 23 KV is then Increased to 500 000 volts by the Generator Transformer (22).

Coal is unloaded from ships at Coal Jetty and dredged using Stacker Reclaimer (1), and then transported by conveyor to temporary storage (Temporary Stock) through Telescopic Chute (2) to then be sent to the boiler. Furthermore, the coal is transferred through the Junction House (3) to the Scrapper Conveyor (4) and the Coal Bunker (5), forwarded to the Coal Feeder (6) which controls the amount of flow to the Pulverizer (7) in which the coal needs to be milled powder very fine like flour. The coal powder is mixed with hot air from the Primary Air Fan (8) and taken to the Coal Burner (9) that blow the coal into the combustion chamber for combustion processes such as gas and burned to turn water into steam. Hot air is used by P.A. Fan supplied from F.D. Fan (10) which suppress the hot air is passed through a Water Heater after (11). F.D. Fan also supplies air to the Coal Burner to support the combustion process. The results of the combustion process produces waste in the form of ashes in the ratio 14:1. Ash that fell to the bottom of the boiler is periodically removed and stored. Combustion gas is sucked out of the boiler by ID Fan (12) and passed through an Electric Precipitator (13) which absorbs 99.5% of fly ash and dust with electrode system that is blown into the chimney / stack (14). Ash and dust are then collected and taken with the Gravity Conveyor Pneumatic tools are used as material for road construction materials, cement and building materials (conblok). The heat generated from fuel combustion, is absorbed by the evaporator pipes / Waterwalls into saturated steam / wet steam is further heated by the superheater (15). Then the steam is supplied to the high pressure turbine HP Turbine (16), in which steam is pressed through a nozzle into the turbine blades. Power of steam turbine blades hit and makes the turbine spin. After going through H.P. Turbine, steam is returned to the boiler to be heated again in Reheater (17) before the steam is used in IP Turbine (18) and L.P. Turbine (19). Meanwhile, the former returned to the water vapor in Condensor (23) with sea water / Sea Water (26) is supplied by the CW Pump (32). Condensation of water will be reused in the boiler. Water is pumped from Condensor Condensate Extraction Pump with (24), heated again by the LP Heater (25), raised to Deaerator (27). Heating tank and then pumped by the Boiler Feed Pump (28) by HP Heater (29), where the water is further heated before entering the boiler at Economiser (30), then water into the steam drum (31). Low pressure turbine shaft is coupled to the generator rotor (20). Electromagnetic cylindrical rotor in size when the turbine rotates rotating part. Generator Generator Stator wrapped in (21). The stator is wound with copper rod. Electricity is generated in the stator by a copper bar rotor Electromagnetism through rotation of the magnetic field. Voltage is 23 kV and then raised to 500,000 Volt with Generator Transformer (22).

Friday, February 3, 2012

All About HIV

Imunodifisiensi human virus is a virus that can cause disease that is very, very afraid of AIDS. This virus attacks the human immune system attacks the body, so that the body becomes weak and sluggish in fighting infection. In other words, the presence of this virus will cause a deficiency in the body's immune system deficiencies. Someone who is HIV positive, not necessarily have AIDS. Many cases where someone is HIV positive, but did not become sick in a long time. However, the existing HIV in a person's body will continue to damage the immune system. As a result, viruses, fungi and bacteria are usually harmless to extremely dangerous because of damage to the body's immune system. HIV is a virus which genetic material is RNA (ribonucleic acid) which is wrapped by a matrix composed mostly of protein. To grow, it needs to change its genetic material into DNA (deoxyribonucleic acid), integrated into the host DNA, and then undergo a process that would eventually produce the protein. The resulting proteins would then form new viruses.
HIV is the virus that causes AIDS. HIV present in a person's body fluids such as blood, sexual fluids (semen or vaginal fluids that have been infected) and breast milk that has been infected. While AIDS is a syndrome decreased immunity caused by HIV.

People who develop AIDS very easily infected by various diseases because the immune system of patients had menurun.HIV can be transmitted to others through:

Sexual intercourse (anal, oral, vaginal) unprotected (without condom) with someone who has been infected with HIV.
Syringe / piercings / tattoos that are not sterile and are used interchangeably
Get a blood transfusion containing HIV virus
HIV-positive mothers with their babies while in utero, during birth or through breast milk (ASI)

AIDS began to grow and show signs or symptoms gejala.Tanda clinical signs of AIDS patients:

Body weight decreased by more than 10% in 1 month
Chronic diarrhea that lasts more than 1 month
More prolonged fever dari1 months
Impairment of consciousness and neurological disorders
Dementia / HIV encephalopathy

Minor symptoms:

Persistent cough for more than 1 month
Generalized dermatitis, an itchy
Presence of multisegmental Herpes zoster and recurrent
Recurrent yeast infections in female genital

There are several stages when the HIV virus from infected until symptoms of AIDS:

A. Stage 1: The window period
- HIV enters the body, until the formation of antibodies to HIV in the blood
- No special tanda2, people with HIV look healthy and feel healthy
- HIV test can not detect the presence of this virus
- This stage is called the window period, generally ranging from 2 weeks - 6 months

2. Phase 2: Positive HIV (without symptoms) on average for 5-10 years:
- HIV proliferate in the body
- There are no specific signs, people with HIV look healthy and feel healthy
- HIV Test can detect a person's HIV status, having been formed antibodies against HIV
Generally, it looks healthy for 5-10 years, depending on her endurance (average 8 years (in developing countries is shorter)

3. Stage 3: HIV Positive (symptoms)
- The immune system is on the downside
- Start up of symptoms of opportunistic infections, such as swollen lymph glands throughout the body, continuous diarrhea, flu, etc.
- Generally lasts for more than a month, depending on her endurance

4. Stage 4: AIDS
- The condition is very weak immune system
- Various other diseases (opportunistic infections) is getting worse

Thursday, February 2, 2012

Recognize Cancer

Cancer is a group of diseases that can cause almost any sign or symptom. The signs and symptoms will depend on where the cancer is, how big, and how much that affects the nearby organs or tissues. If the cancer has spread symptoms can appear in different parts of the body. As the cancer grows, it can start to encourage nearby organs, blood vessels and nerves. This pressure makes some of the signs and symptoms kangker.Kanker is not a mild disease. The initial step in the treatment of cancer detection correctly is that the symptoms that appear on the patient's body is truly malignant cancer cells. This detection can be done by examination of biopsy, so that the treatment step can be performed quickly and accurately. The next step is a therapeutic treatment in a conventional manner. But in fact this way of treatment with cancer often have not been able to overcome completely. Kinds of kinds of cancer

Several other types of cancer who are well known community include:


Brain cancer
Cervical Cancer
Hodgkin's Lymphoma
Kidney Cancer
Leukemia / blood cancer
Liver cancer
Non-Hodgkin's lymphoma
Ovarian Cancer
Skin cancer
Testicular Cancer
Thyroid cancer
Cancer of the uterus
Prostate Cancer
Colorectal cancer
etc.

The symptoms of cancer

The following symptoms are common symptoms in cancer (but did not rule out one or more does not occur in a particular cancer type):

Chills
Fatigue
Fever
Loss of appetite
Malaise
Sweating, especially at night

Prevention in General

Prevention of cancer is a common way of reducing exposure to carcinogenic materials, such as not smoking, avoiding foods high in fat, high-fiber foods such as vegetables and fruits, Akif physical life, striving for the ideal body weight, and live a healthy pattern. Prevention can also be done by screening or screening for the possibility of getting cancer. Cancer screening test is intended to determine the possibility of cancer so that it can reduce the number of deaths from cancer because if cancer is found at a very early stage, where the cancer has not spread further, the cancer usually can be treated and provide optimal results.

Mental Therapy

Some things to do in terms of mental therapy for patients with cancer are:

Managing stress
Recognizing the stress
Moral support in cancer patients
Stay active and have fun
Empathize (mamahami mental burden experienced by cancer patients to support recovery)
Optimistic in the running life
Dispose of revenge and hatred
Prayer therapy (closer to God)

COAL COMBUSTION PROCESS PLTU

Coal combustion process a little more complex when compared to oil or gas. Coal combustion process itself is through three phases: drying (drying), the evaporation of volatile (devolatilization) and char combustion (char combustion). For the process of pulverized coal drying, devolatilization and char combustion will take place in sequence with the period of burning char (char burn period) are relatively much longer when compared to the drying and devolatilization stage

Drying.
Drying is the process of evaporation / drying of moisture in the coal. Moisture in the coal is divided into two types, namely: in the form of free water (free water) is located between the pores of coal and in the form of bounded water (bound water) is absorbed in the surface structure of coal. Bituminous coal has little free water, mostly in the form moisturenya is bounded water. At the time put into PULVERIZER coal, coal has a heating process (heating) by the primary water. The process of heat transfer that occurs within and along the pulverized coal pipe is heat transfer by convection by the primary water. Water will evaporate and be forced out of the coal particles. Drying time is the time required to heat the coal particles to the vaporization point (the point of evaporation) and vaporize all the existing moisture content. The time taken by particles of coal in the process of convection heat transfer to evaporate the water is :
with:
MWI: mass of water, kg
cw: energy in the water, kJ / kg
mdf: mass of dry fuel, kg
cdf: energy in dry fuel, kJ / kg
m: mass of water flow rate, kg / sec
hfg: latent heat of evaporation of water, kJ / kg
h: primary water convection coefficient, W/m2 OK
Ap: coal particle surface area, m2
Ta: primary water temperature, OK
Tp: temperature of coal particles, OK

So the use of coal with a higher moisture values ​​will cause the drying time is also higher.

Devolatilization
When the drying process has been completed then the particles of coal began to change with the release of volatile composition. Volatile is the content of gases in coal. During volatile exit from the pores of coal, external oxygen can not enter into the particle penetration. Devolatilization process known as pyrolysis stage. The rate of devolatilization and pyrolysis products depends on the temperature and fuel type. In the pyrolysis process will be the release of carbon monoxide, hydrocarbons, and soot. Along with the release of volatile, there will be diffuse oxygen so that the pyrolysis products began to burn. Flame happened to be the more heat will cause the particles and the faster the rate of devolatilization. The rate of devolatilization can be calculated using the equation:

with:
mv: volatile mass, kg
kpyr: constant pyrolysis
k0, PYR: constant pyrolysis at temperatures of reference
Epyr: Energy pyrolysis
R: ideal gas constant
Tp: temperature of particles

Integration of the equation above:
Flame Ignition began to take shape at this stage. The higher levels of Volatile Matter then the coal will burn and the easier it will be more stable combustion.

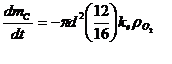
Char Combustion
The final stage of the coal combustion process is char combustion. When complete devolatilization, coal is the remains of the carbon char and ash. Carbon is very porous char (porous) so that oxygen can penetrate the char berdiffusi into the outer layer (layer externally) and continues into the char particle. The rate of burning of the char depends on the rate of chemical reaction of carbon-oxygen reaction on the char surface and internal diffusi rate of oxygen in the boundary layer (boundary layer). Surface reactions produce CO which then reacts to form CO2 out of the particles. Reaction will raise the surface temperature of about 100-200oC char above the gas temperature. The rate of burning of the char is also dependent on the concentration of oxygen, the gas temperature, gas flow Reynolds number, particle size and porosity of the char char. For engineering purposes, the approach used is to use the global reaction (global reaction) to calculate the rate of char combustion. Global reaction rate will calculate the mass of char reaction rate per unit area and per unit of surface oxygen concentration outside the particle boundary layer. Carbon char reaction with oxygen on the surface will form carbon monoxide (CO) and carbon dioxide (CO2), but its main products are carbon monoxide:
C CO + ½ O2 (a)
The surface will react with carbon dioxide and water vapor korbon:
C + CO2 2CO (b)
C + H2O CO + H2 (c)
Reduction reactions (b) and (c) is generally slower than the oxidation reaction (a) and for combustion is usually only the reaction (a) are considered. Char burnout time obtained by the equation:
with:
mC: the mass of carbon, kg
d: diameter of char particles, kg
to: effectively constant firing rate, g / (cm2.s.atm O2)
: Density of oxygen, kg/m3

By adjusting the sizing of coal (70% passes 200 mesh) then for sizing / same diamater then the burnout time of coal will also be relatively the same.

So the total time required for burning coal is the perfect time is the sum of the drying, pyrolysis time and char burnout time. Optimization of coal combustion is achieved when the moisture coal into the combustion chamber while only 1%. The rest must have evaporated (drying) time in the PULVERIZER and coal pipe. It is intended that coal now going into the combustion chamber has been right on the devolatilization stage, which began to form a fire. The remaining 1% moisture is intended as a safe limit to prevent pre-combustion in the pipe. From the data shows that coal moisture content of low rank coal has a higher moisture so the total time for combustion of coal is also higher. That is going to happen delay combustion in the furnace. In addition to the burning of coal, which take into account is the flow rate of coal into the furnace. The faster the flow of coal combustion is the distance from the fire will be more distant. Low rank has a lower calorific value of coal and thus need more air, automatic flow rate is also high. Two factors, time and speed, will determine the residence time of coal (residence time) in the furnace.

Wednesday, February 1, 2012

Water Needs in Indonesia

Water is the most important needs of life. The fact the industry is currently generating hazardous waste in the waste directly in water sources, then human life and the environment becomes dangerous terancamdan.

Earth consists of 70% water. All areas of human life in desperate need of water for agriculture, plantation, Industry, Livestock and anything on earth. Water sources are maintained is the key to our lives. The number of overflow water in Indonesia is very large but not necessarily guarantee the availability of clean water.


Industrial waste and household waste is not managed by baikmembuat water sources can not be used optimally.

Air Pollution Originating from Industrial Waste

Industrial waste is currently outside the control of that release harmful chemicals and greatly affect the precious water resources - causing long term damage to human health and the environment.

Industrial waste with hazardous chemical has been far from the control's security. Industries often dispose of hazardous chemicals from the rest of the manufacturing production process, with no responsibility for their products who use chemicals are disposed of as hazardous waste without any management.

Many chemicals used at the time the goods produced have intrinsic hazardous properties. They used intentionally or unintentionally, but most of those chemicals are not derived from natural ingredients. Hazardous chemicals can not be managed with simple techniques or simply by 'end-of-pipe', including public wastewater treatment plants. And industrial waste is very harmful in a very long and far from the source where they throw it away. They can travel great distances and they can accumulate along the food chain, eventually will poison our food supply itself.

Build Trust in Your Workplace

It is a condition often found in the decline of trust between management and employees have. I do not have employees trust management, and administration staff that were difficult for you to easily customize do not change.

Trust financial crisis has made the difficult decision when jobs are important for a business that's going around and change the future. However, it was really hard to maintain the trust is more.

What is faith?


Sure there are many definitions, in this context means doing what they say they will have the spirit, is an honest and open, and create an environment where everyone works together to agree targets Does the act. I understand that many organizations are going through difficult times right now, and be open at any time, for example, you can not.

Management team to keep you, or you can build trust? Confidence at all levels of organization should be included above. Administrators, managers and analysts on a daily basis by strengthening their resolve to act.

Here in order to build confidence in the organization and personality points to consider are: -
Staff time and listen!

Staff time and listen!

Keep the promise - it is the most important. If a company says it will do something, believe that this is the time promised. For example, every year, should be reviewed annually, for notice should be agreed sary, anurty have been asked to respond! If for any reason can not promise anything, then clearly explain why.
Tell the truth - it is an obvious thing, but not always acting. Do not lie to people. Only when people lie to you, since they do not believe a word you get. If mistakes were made, then talk. Recognize mistake and I apologize. Being in advance. Your employees will respect it.
Be transparent - share information with employees as possible. I know that this is not always possible, especially when the decision takes into account a change. However, as open as possible.
Everyone equally and fairly Profile - consistency is important, so make sure that if they are equally applicable rules. Seeing things with some people "get away" to be or another way to treat skin feels bad and distrust.

In addition to the above, there people who want to believe anything about points for: -
All work as a team

All work as a team

Manage your state of mind - as relevant as possible to his mood. Change from positive to negative and non-forest trust makes a non-fixed environments.
Listen - this is a very underrated talent, and many people think they are better than they really are! For example, to understand, listen. Put on your point of view without interference or, making sure I have a long way.
Be original - do not tell anyone they're not. See through you and your team know you're pretending to be.
Say thank you - and Gambhir often as possible.
Help in a crisis - if your team is really busy, offer to lend a hand. Pick up the phone, even if only one message. Your offer of help would be appreciated.
Be available - sometimes placed in the agenda when your team can come and talk to you. This is especially important that you are more. If you start to lose contact, you can start to lose faith.
Invite comments and responses - ask the team what they think. Exchange ideas and opinions (remember to listen before you), consider what is happening. Being open is good. To provide a forum for them to remember.